普通会员
登录
专家专栏
健康分类
学银在线
DICOM知识库
高级三维软件
免费压缩图片
文库
中医学
中医针灸
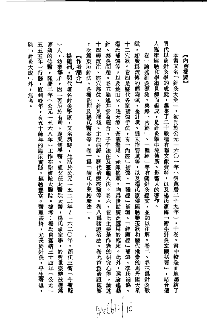
针灸大成新编(杨继洲).pdf
针灸
550页
下载0
2024-11-05
浏览114
收藏0
喜欢0
评分-
免费文档
温馨提示:当前文档最多只能预览 5 页,若文档总页数超出了 5 页,请下载原文档以浏览全部内容。
剩余545页未读,
下载浏览全部
收藏
已收藏
喜欢
已喜欢
JIANG
这个人很懒,什么都没留下
未认证用户
查看用户
该文档于
上传
推荐文档
《针灸图谱》-清晰PDF彩图.pdf
最新文档
中国针灸穴位通鉴+(上、下卷).pdf
常用针灸腧穴速记手册(超清版).pdf
实用图示刺络疗法(高清版).pdf
针灸治疗见实效丛书—针灸治疗肩周炎(高清版).pdf
针灸流派概论(超清版).pdf
针灸经络腧穴标准手册(高清版).pdf
针灸解惑 (王启才).pdf
倪海厦-人纪-针炙.pdf
颈肩腰腿痛简易针灸推拿(超清彩图版).pdf
针刺手法图解手册(邵水金).pdf