普通会员
登录
专家专栏
健康分类
学银在线
DICOM知识库
高级三维软件
免费压缩图片
文库
中医学
基础中医
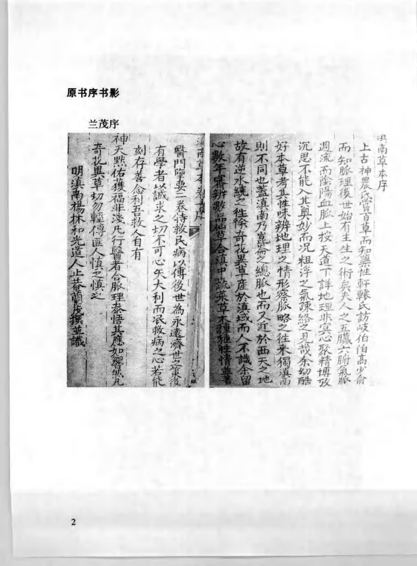
重订医门擥要[明]兰茂.pdf
355页
下载1
2024-11-20
浏览451
收藏0
喜欢0
评分-
免费文档
温馨提示:当前文档最多只能预览 5 页,若文档总页数超出了 5 页,请下载原文档以浏览全部内容。
剩余350页未读,
下载浏览全部
收藏
已收藏
喜欢
已喜欢
JIANG
这个人很懒,什么都没留下
未认证用户
查看用户
该文档于
上传
推荐文档
医学三字经助读(超清版).pdf
中医基础理论-供中医药类专业用.pdf
从生活学中医 中医入门一本就会[2014.1].pdf
最新文档
[VISRIS.COM]新世纪-中医基础理论[仅用于学习,禁止作商业用途].pdf
01《银翘散》潘振亮,姚晓渝 编著.pdf
01.笔记图解.中医基础理论.pdf
《玉屏风散》金哲峰,王聪 编著.pdf
《医学三字经白话解》高学敏等编著,人民卫生出版社 , 2006.pdf
张存梯-火神派温阳九法-人民军医出版社2010.pdf
重订医门擥要[明]兰茂.pdf
中国医学源流论(二).pdf
09《桂枝汤》滕晶,张爱莲 编著.pdf
中国当代医学论文选粹(徐世祥).pdf